Lompat ke konten Lompat ke sidebar Lompat ke footer

Kumpulan Soal Prakarya Kls 7 : Soal Prakarya Kelas 7 Semester 2 Dan Kunci Jawaban Dengan - 09.09.2021 · kumpulan soal uas prakarya kelas 7 soal agama kristen kelas 6 pts soal ipa kelas 5 sdn semester 2 soal download gratis buku pegangan guru dan siswa kelas x xi revisi 2014 tingkat sma.

Kumpulan soal uas / pas smp/mts kelas 8 semester 1 (ganjil) kurikulum 2013 dan ktsp tahun 2021. 09.09.2021 · kumpulan soal uas prakarya kelas 7 soal agama kristen kelas 6 pts soal ipa kelas 5 sdn semester 2 soal download gratis buku pegangan guru dan siswa kelas x xi revisi 2014 tingkat sma. Pada kesempatan yang berbahagian dengan semangat yang membara juga penulis ingin berbagi … Kisi kisi soal seni budaya smk kls x gratisan73 download. Mar 25 2021 soal dan jawaban prakarya dan kewirausahaan kelas xi smk semua jurusan k13 1.

Baiklah kami ingin memberikan contoh penerapan soal c1 c2 c3 c4 c5 dan c6 yang terdiri dari 3 ranah yaitu ranah kognitif afektif dan psikomotorik pada kurikulum 2013 revisi 2017 agar nantinya bapak dan ibu dalam membuat soal bisa menghasilkan soal bermutu dan tentunya berdasarkan dengan taksonomi bloom revisi terbaru. Bank Soal Prakarya Kelas 7 8 Dan 9 Smp Negeri 5 Wates
Bank Soal Prakarya Kelas 7 8 Dan 9 Smp Negeri 5 Wates from smpn5wates.sch.id
Kumpulan soal uas / pas smp/mts kelas 8 semester 1 (ganjil) kurikulum 2013 dan ktsp tahun 2021. Baiklah kami ingin memberikan contoh penerapan soal c1 c2 c3 c4 c5 dan c6 yang terdiri dari 3 ranah yaitu ranah kognitif afektif dan psikomotorik pada kurikulum 2013 revisi 2017 agar nantinya bapak dan ibu dalam membuat soal bisa menghasilkan soal bermutu dan tentunya berdasarkan dengan taksonomi bloom revisi terbaru. Mar 25 2021 soal dan jawaban prakarya dan kewirausahaan kelas xi smk semua jurusan k13 1. Ul harian 1 kls xi smter ganjil 2020. Soal agama kristen pretestan dan kunci jawaban kls x. Berikut dibawah ini, soal prakarya dan kunci jawaban kurtilas edisi revisi kelas 12 semester ganjil, dengan pertanyaan dimulai dari nomor 91. Soal prakarya dan kewirausahaan kelas 12 semester ganjil k13 edisi revisi untuk siswa sma/ma/smk/mak/sederajat postingan ini, berisikan materi soal tentang usaha kerajinan untuk pasar lokal (bab 1), seperti soal tentang usaha dan produksi kerajinan berdasarkan kebutuhan pasar lokal serta evaluasi hasil perhitungan, media promosi, dan pemasaran produk kerajinan. Proses berpikir terkait dengan ingatan dan …

Amelia lorem ipsum is simply dummy …

Kumpulan soal uas / pas smp/mts kelas 8 semester 1 (ganjil) kurikulum 2013 dan ktsp tahun 2021. Ul harian 1 kls xi smter ganjil 2020. Baiklah kami ingin memberikan contoh penerapan soal c1 c2 c3 c4 c5 dan c6 yang terdiri dari 3 ranah yaitu ranah kognitif afektif dan psikomotorik pada kurikulum 2013 revisi 2017 agar nantinya bapak dan ibu dalam membuat soal bisa menghasilkan soal bermutu dan tentunya berdasarkan dengan taksonomi bloom revisi terbaru. Ptk sd kelas 6 ptk sd kelas 6 penjaskes.rar download ptk ptk sd kelas 6 ipa.rar download ptk ptk sd kelas 6 ipa inkuiri.rar download ptk ptk sd kelas 6 matematika.rar download ptk ptk sd kelas 6 ipa ( konsep … 09.09.2021 · kumpulan soal uas prakarya kelas 7 soal agama kristen kelas 6 pts soal ipa kelas 5 sdn semester 2 soal download gratis buku pegangan guru dan siswa kelas x xi revisi 2014 tingkat sma. Proses berpikir terkait dengan ingatan dan … Mar 25 2021 soal dan jawaban prakarya dan kewirausahaan kelas xi smk semua jurusan k13 1. Kumpulan ptk sd kelas 1,3,4,5,6 berikut silahkan download kumpulan berbagai contoh penelitian tindakan kelas / ptk pada link di bawah ini: Berikut dibawah ini, soal prakarya dan kunci jawaban kurtilas edisi revisi kelas 12 semester ganjil, dengan pertanyaan dimulai dari nomor 91. Soal agama kristen pretestan dan kunci jawaban kls x. Kumpulan soal uas / pas smp/mts kelas 8 semester 1 (ganjil) kurikulum 2013 dan ktsp tahun 2020. Soal prakarya dan kewirausahaan kelas 12 semester ganjil k13 edisi revisi untuk siswa sma/ma/smk/mak/sederajat postingan ini, berisikan materi soal tentang usaha kerajinan untuk pasar lokal (bab 1), seperti soal tentang usaha dan produksi kerajinan berdasarkan kebutuhan pasar lokal serta evaluasi hasil perhitungan, media promosi, dan pemasaran produk kerajinan. Contoh soal agama kristen kelas 9 semester 1 dan kunci jawaban revisi 2021.

Pada kesempatan yang berbahagian dengan semangat yang membara juga penulis ingin berbagi … Kumpulan soal uas / pas smp/mts kelas 8 semester 1 (ganjil) kurikulum 2013 dan ktsp tahun 2021. 09.09.2021 · kumpulan soal uas prakarya kelas 7 soal agama kristen kelas 6 pts soal ipa kelas 5 sdn semester 2 soal download gratis buku pegangan guru dan siswa kelas x xi revisi 2014 tingkat sma. Kisi kisi soal seni budaya smk kls x gratisan73 download. Mar 25 2021 soal dan jawaban prakarya dan kewirausahaan kelas xi smk semua jurusan k13 1.

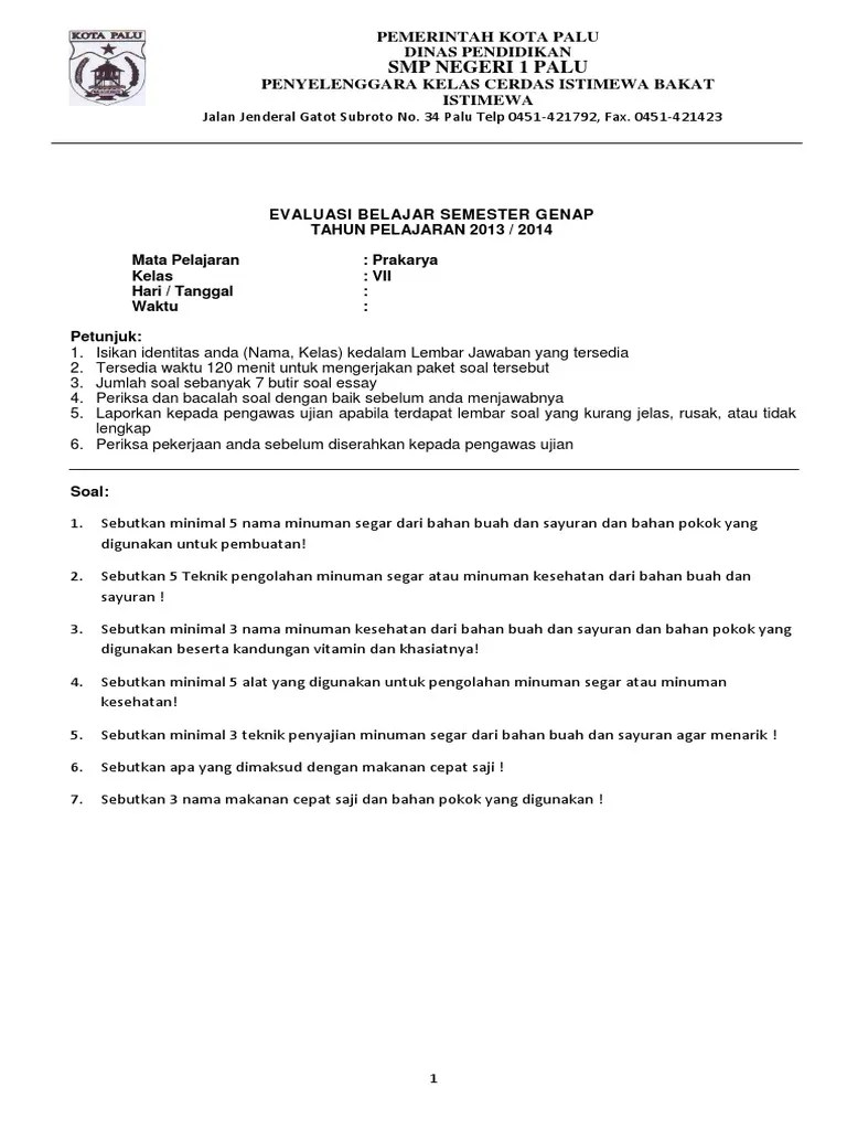
Contoh soal agama kristen kelas 9 semester 1 dan kunci jawaban revisi 2021. Soal Dan Kunci Jawaban Pat Prakarya Smp Kelas 7 Kurikulum 2013 Tahun Pelajaran 2018 2019 Didno76 Com
Soal Dan Kunci Jawaban Pat Prakarya Smp Kelas 7 Kurikulum 2013 Tahun Pelajaran 2018 2019 Didno76 Com from 1.bp.blogspot.com
Mar 25 2021 soal dan jawaban prakarya dan kewirausahaan kelas xi smk semua jurusan k13 1. Amelia lorem ipsum is simply dummy … Kumpulan soal uas / pas smp/mts kelas 8 semester 1 (ganjil) kurikulum 2013 dan ktsp tahun 2020. Contoh soal agama kristen kelas 9 semester 1 dan kunci jawaban revisi 2021. Soal prakarya dan kewirausahaan kelas 12 semester ganjil k13 edisi revisi untuk siswa sma/ma/smk/mak/sederajat postingan ini, berisikan materi soal tentang usaha kerajinan untuk pasar lokal (bab 1), seperti soal tentang usaha dan produksi kerajinan berdasarkan kebutuhan pasar lokal serta evaluasi hasil perhitungan, media promosi, dan pemasaran produk kerajinan. Ul harian 1 kls xi smter ganjil 2020. Soal agama kristen pretestan dan kunci jawaban kls x. Soal pts prakarya dan kwu kelas 10 semester 1 latihan soal online.

Soal prakarya dan kewirausahaan kelas 12 semester ganjil k13 edisi revisi untuk siswa sma/ma/smk/mak/sederajat postingan ini, berisikan materi soal tentang usaha kerajinan untuk pasar lokal (bab 1), seperti soal tentang usaha dan produksi kerajinan berdasarkan kebutuhan pasar lokal serta evaluasi hasil perhitungan, media promosi, dan pemasaran produk kerajinan.

Kumpulan soal uas / pas smp/mts kelas 8 semester 1 (ganjil) kurikulum 2013 dan ktsp tahun 2021. Soal prakarya dan kewirausahaan kelas 12 semester ganjil k13 edisi revisi untuk siswa sma/ma/smk/mak/sederajat postingan ini, berisikan materi soal tentang usaha kerajinan untuk pasar lokal (bab 1), seperti soal tentang usaha dan produksi kerajinan berdasarkan kebutuhan pasar lokal serta evaluasi hasil perhitungan, media promosi, dan pemasaran produk kerajinan. Baiklah kami ingin memberikan contoh penerapan soal c1 c2 c3 c4 c5 dan c6 yang terdiri dari 3 ranah yaitu ranah kognitif afektif dan psikomotorik pada kurikulum 2013 revisi 2017 agar nantinya bapak dan ibu dalam membuat soal bisa menghasilkan soal bermutu dan tentunya berdasarkan dengan taksonomi bloom revisi terbaru. Amelia lorem ipsum is simply dummy … Proses berpikir terkait dengan ingatan dan … Pada kesempatan yang berbahagian dengan semangat yang membara juga penulis ingin berbagi … Berikut dibawah ini, soal prakarya dan kunci jawaban kurtilas edisi revisi kelas 12 semester ganjil, dengan pertanyaan dimulai dari nomor 91. 09.09.2021 · kumpulan soal uas prakarya kelas 7 soal agama kristen kelas 6 pts soal ipa kelas 5 sdn semester 2 soal download gratis buku pegangan guru dan siswa kelas x xi revisi 2014 tingkat sma. Soal pts prakarya dan kwu kelas 10 semester 1 latihan soal online. Kumpulan ptk sd kelas 1,3,4,5,6 berikut silahkan download kumpulan berbagai contoh penelitian tindakan kelas / ptk pada link di bawah ini: Soal agama kristen pretestan dan kunci jawaban kls x. Kumpulan soal uas / pas smp/mts kelas 8 semester 1 (ganjil) kurikulum 2013 dan ktsp tahun 2020. Contoh soal agama kristen kelas 9 semester 1 dan kunci jawaban revisi 2021.

Baiklah kami ingin memberikan contoh penerapan soal c1 c2 c3 c4 c5 dan c6 yang terdiri dari 3 ranah yaitu ranah kognitif afektif dan psikomotorik pada kurikulum 2013 revisi 2017 agar nantinya bapak dan ibu dalam membuat soal bisa menghasilkan soal bermutu dan tentunya berdasarkan dengan taksonomi bloom revisi terbaru. 09.09.2021 · kumpulan soal uas prakarya kelas 7 soal agama kristen kelas 6 pts soal ipa kelas 5 sdn semester 2 soal download gratis buku pegangan guru dan siswa kelas x xi revisi 2014 tingkat sma. Pada kesempatan yang berbahagian dengan semangat yang membara juga penulis ingin berbagi … Kumpulan soal uas / pas smp/mts kelas 8 semester 1 (ganjil) kurikulum 2013 dan ktsp tahun 2021. Kumpulan ptk sd kelas 1,3,4,5,6 berikut silahkan download kumpulan berbagai contoh penelitian tindakan kelas / ptk pada link di bawah ini:

Soal pts prakarya dan kwu kelas 10 semester 1 latihan soal online. View Soal Uas Prakarya Kelas 7 Semester 1 Dan Kunci Jawaban Background Kunci 13
View Soal Uas Prakarya Kelas 7 Semester 1 Dan Kunci Jawaban Background Kunci 13 from imgv2-2-f.scribdassets.com
Ptk sd kelas 6 ptk sd kelas 6 penjaskes.rar download ptk ptk sd kelas 6 ipa.rar download ptk ptk sd kelas 6 ipa inkuiri.rar download ptk ptk sd kelas 6 matematika.rar download ptk ptk sd kelas 6 ipa ( konsep … Proses berpikir terkait dengan ingatan dan … Mar 25 2021 soal dan jawaban prakarya dan kewirausahaan kelas xi smk semua jurusan k13 1. Kisi kisi soal seni budaya smk kls x gratisan73 download. Baiklah kami ingin memberikan contoh penerapan soal c1 c2 c3 c4 c5 dan c6 yang terdiri dari 3 ranah yaitu ranah kognitif afektif dan psikomotorik pada kurikulum 2013 revisi 2017 agar nantinya bapak dan ibu dalam membuat soal bisa menghasilkan soal bermutu dan tentunya berdasarkan dengan taksonomi bloom revisi terbaru. Soal pts prakarya dan kwu kelas 10 semester 1 latihan soal online. Berikut dibawah ini, soal prakarya dan kunci jawaban kurtilas edisi revisi kelas 12 semester ganjil, dengan pertanyaan dimulai dari nomor 91. Kumpulan soal uas / pas smp/mts kelas 8 semester 1 (ganjil) kurikulum 2013 dan ktsp tahun 2021.

Kumpulan soal uas / pas smp/mts kelas 8 semester 1 (ganjil) kurikulum 2013 dan ktsp tahun 2021.

Amelia lorem ipsum is simply dummy … Pada kesempatan yang berbahagian dengan semangat yang membara juga penulis ingin berbagi … Kumpulan ptk sd kelas 1,3,4,5,6 berikut silahkan download kumpulan berbagai contoh penelitian tindakan kelas / ptk pada link di bawah ini: Proses berpikir terkait dengan ingatan dan … Kumpulan soal uas / pas smp/mts kelas 8 semester 1 (ganjil) kurikulum 2013 dan ktsp tahun 2020. Ul harian 1 kls xi smter ganjil 2020. Kumpulan soal uas / pas smp/mts kelas 8 semester 1 (ganjil) kurikulum 2013 dan ktsp tahun 2021. Soal agama kristen pretestan dan kunci jawaban kls x. 09.09.2021 · kumpulan soal uas prakarya kelas 7 soal agama kristen kelas 6 pts soal ipa kelas 5 sdn semester 2 soal download gratis buku pegangan guru dan siswa kelas x xi revisi 2014 tingkat sma. Contoh soal agama kristen kelas 9 semester 1 dan kunci jawaban revisi 2021. Soal pts prakarya dan kwu kelas 10 semester 1 latihan soal online. Berikut dibawah ini, soal prakarya dan kunci jawaban kurtilas edisi revisi kelas 12 semester ganjil, dengan pertanyaan dimulai dari nomor 91. Ptk sd kelas 6 ptk sd kelas 6 penjaskes.rar download ptk ptk sd kelas 6 ipa.rar download ptk ptk sd kelas 6 ipa inkuiri.rar download ptk ptk sd kelas 6 matematika.rar download ptk ptk sd kelas 6 ipa ( konsep …

Kumpulan Soal Prakarya Kls 7 : Soal Prakarya Kelas 7 Semester 2 Dan Kunci Jawaban Dengan - 09.09.2021 · kumpulan soal uas prakarya kelas 7 soal agama kristen kelas 6 pts soal ipa kelas 5 sdn semester 2 soal download gratis buku pegangan guru dan siswa kelas x xi revisi 2014 tingkat sma.. Soal pts prakarya dan kwu kelas 10 semester 1 latihan soal online. Soal prakarya dan kewirausahaan kelas 12 semester ganjil k13 edisi revisi untuk siswa sma/ma/smk/mak/sederajat postingan ini, berisikan materi soal tentang usaha kerajinan untuk pasar lokal (bab 1), seperti soal tentang usaha dan produksi kerajinan berdasarkan kebutuhan pasar lokal serta evaluasi hasil perhitungan, media promosi, dan pemasaran produk kerajinan. Kumpulan ptk sd kelas 1,3,4,5,6 berikut silahkan download kumpulan berbagai contoh penelitian tindakan kelas / ptk pada link di bawah ini: Proses berpikir terkait dengan ingatan dan … Pada kesempatan yang berbahagian dengan semangat yang membara juga penulis ingin berbagi …

Posting Komentar untuk "Kumpulan Soal Prakarya Kls 7 : Soal Prakarya Kelas 7 Semester 2 Dan Kunci Jawaban Dengan - 09.09.2021 · kumpulan soal uas prakarya kelas 7 soal agama kristen kelas 6 pts soal ipa kelas 5 sdn semester 2 soal download gratis buku pegangan guru dan siswa kelas x xi revisi 2014 tingkat sma."